Een internationale doorbraak maakt single-atom katalysatoren eindelijk stabiel en volledig controleerbaar. Het opent de deur naar schonere brandstoffen en precisiechemie op industriële schaal.
Wetenschappers hebben een belangrijke stap gezet richting de ontwikkeling van katalysatoren die atomair gecontroleerd functioneren. Een doorbraak die de toekomst van chemische reacties fundamenteel kan veranderen. Single-atom katalysatoren worden alom gezien als de sleutel tot schonere en efficiëntere chemische processen, maar het bouwen ervan buiten extreem koude laboratoria bleef tot nu toe een enorme uitdaging.
Volgens de studie, gepubliceerd in Nature Communications, heeft een internationaal team uit Italië, Japan en Zwitserland nu een methode ontwikkeld die al deze obstakels tegelijk overwint. Het resultaat: een platform dat met molecuulprecisie metaalatomen op één lijn zet in een stabiele, aanpasbare structuur, zelfs boven kamertemperatuur.
De heilige graal van efficiëntie
Het probleem met conventionele katalysatoren is eenvoudig maar cruciaal: metaalatomen in clusters of bulkmaterialen zijn vaak gedeeltelijk onbereikbaar voor reagerende moleculen. Alleen de atomen aan de oppervlakte kunnen actief deelnemen aan reacties, waardoor veel potentieel verloren gaat.
“Om maximale katalytische efficiëntie te bereiken, moeten we ervoor zorgen dat elk atoom van onze katalysator toegankelijk is voor reagentia. Iets wat onmogelijk is in bulkmaterialen of clusters, waar binnenste atomen verborgen zitten,” legt hoofdonderzoeker dr. Marco Di Giovannantonio uit. Volgens hem biedt hun nieuwe methode een oplossing die de natuur al heeft bedacht in enzymen: uniform gepositioneerde actieve sites die atomen volledig blootstellen aan reactanten.
Moleculair ontwerp met ongekende precisie
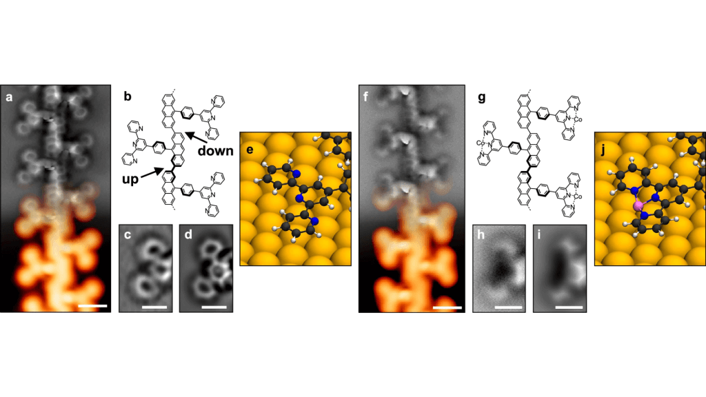
De onderzoekers gebruikten een techniek genaamd on-surface synthesis (OSS) in combinatie met atom-resolutie scanning probe microscopy om één-dimensionale organische polymeren te maken. Deze polymeren bevatten periodieke zijketens die metaalatomen op exacte, herhaalbare posities kunnen verankeren.
Het resultaat is een tunable architectuur die functioneert als een synthetisch enzym, maar dan volledig ontworpen en gecontroleerd door de mens. Het grote voordeel: de structuur houdt elk metaalatoom stabiel, voorkomt aggregatie en blijft actief bij hogere temperaturen – iets wat traditionele single-atom katalysatoren niet konden.

Sterkere binding en nieuwe mogelijkheden
Een andere theoretische studie toonde aan dat de polymeren een veel sterkere binding vertonen met industriële gassen zoals CO, O2 en H2, vergeleken met conventionele katalysatorframes. Dit betekent dat reactiemiddelen efficiënter kunnen worden gestabiliseerd, een cruciale stap bij processen zoals CO2-conversie en waterstofproductie.
De mogelijkheden zijn breed: van het ontwikkelen van schonere brandstoffen tot nauwkeurigere omzetting van CO2 naar waardevolle chemicaliën, met minder energieverbruik. De architectuur is bovendien flexibel: verschillende metalen en liganden kunnen worden geïntegreerd, afhankelijk van het gewenste chemische proces.

Industriële toepassing
Professor Akimitsu Narita benadrukt de bredere impact: “Dit werk introduceert niet alleen een nieuwe strategie voor het bouwen van single-atom katalysatoren met atomaire precisie, maar legt ook de basis voor de rationele ontwikkeling van organometallic nanomaterialen voor toekomstige toepassingen.”
Het team denkt dat hun methode een belangrijke stap kan zijn naar de rationalisering van industriële katalyse, met potentieel voor efficiëntere chemische synthese, groener energiegebruik en zelfs nieuwe materialen die op moleculair niveau zijn ontworpen.
Single-atom katalysatoren eindelijk praktisch
Door de combinatie van innovatieve polymeren, atomair precieze positionering en stabiliteit boven kamertemperatuur, is dit platform een van de meest veelbelovende stappen richting de volgende generatie katalytische technologieën.
Het onderzoek toont dat het mogelijk is om single-atom katalysatoren niet alleen theoretisch te bouwen, maar ze ook praktisch toepasbaar te maken.





